数据仓库与数据挖掘-第12章节
导入
今天这几节课,我们要一起探索数据挖掘中两个非常有趣且实用的领域:文本挖掘和时间序列分析。
想象一下,我们平时接触的数据是什么样子的?
大部分是规整的数字和类别 ,比如销售额、年龄、性别,整整齐齐地躺在表格里,我们称之为结构化数据 。但现实中,有海量的数据是“不规整”的,比如社交媒体上的评论、新闻文章、产品描述、我们的聊天记录……这些就是非结构化数据 ,而其中文本数据占了绝大多数。

1. 文本和时序数据挖掘
1. 文本数据挖掘概要
概要
我们之前学的方法,比如分类、聚类,主要针对“规整”的数据。那么,面对这一堆杂乱无章的、充满人类语言的文本,我们该如何从中挖掘出“金矿”呢? 这就是我们今天上半场要解决的问题。
1. 文本挖掘是什么?
简单来说,文本挖掘 就是从大量的文本数据中,通过计算机自动发现以前未知的、有用的、可理解的知识的过程。
把它想象成一个高级的“阅读理解机器人”。这个机器人能快速阅读海量文档(比如一万篇新闻),然后告诉我们:
- 最近大家都在讨论什么热点话题?(主题发现)
- 这篇影评是好评还是差评?(情感分析)
- 这两份研究论文内容上是不是很相似?(文档聚类/分类)
2. 文本挖掘的过程和任务
这个过程就像把原材料(原始文本)加工成一道美味佳肴(有价值的知识)。
第一步:文本获取与预处理
任务:收集原始文本数据,比如从网页上爬取新闻,或者拿到公司内部的客服聊天记录。
好比:去菜市场买菜,把菜洗干净,去掉烂叶子。
第二步:文本清理与分词
文本清理:去除HTML标签、特殊符号、停用词(如“的”、“了”、“是”这些出现频率高但信息量小的词)。
分词:这是中文文本挖掘特有的关键一步!因为英文单词间有空格,而中文没有。比如,“我喜欢数据挖掘”需要被切分成 我 / 喜欢 / 数据挖掘。
好比:把洗好的菜切块、切片,准备好下锅。
第三步:特征提取
任务:这是最核心的一步!计算机不认识文字,只认识数字。我们必须把文字转换成它能处理的数学形式(通常是向量)。这就是我们下面要详细讲的 BOW 和 TF-IDF。
好比:给每一道食材(词)赋予一个“味道强度值”,这样计算机就能“品尝”和比较不同的文档了。
第四步:数据挖掘/建模
任务:将上一步得到的数字向量,输入到我们熟悉的算法中,比如分类算法(朴素贝叶斯、SVM)、聚类算法(K-Means)等,进行具体的分析任务。
好比:开火炒菜!根据菜谱(算法模型),将准备好的食材下锅烹饪。
第五步:评估与可视化
任务s:看看模型的效果好不好,比如情感分析的准确率高不高。然后把结果用图表等直观的方式展示出来。
好比s:尝一下菜的味道,调整咸淡,然后精美地摆盘上桌。
3. 文本挖掘的任务
文本挖掘的主要任务有文本分类、文本聚类、主题抽取、文本检索、命名实体识别和情感分析等

2. 文本数据挖掘主要方法
实操案例2
4. 文本分析和挖掘的主要方法
4.1 词语分词
通常情况下,文本数据是由若干篇文章或若干条语句构成。一般认为中文词语是最小的语义单元,一句话可以由多个词语组成,而词语可以由一个或者多个汉字组成。
因此,在进行文本分类之前,文本预处理阶段首先应该将文本转化为计算机可以处理的数据结构,也就是将文本切分为构成文本的语义单元,这些语义单元可以是句子、短语、词语或单个字。和英文文本处理分类相比,中文文本预处理更为重要和关键,并且相对复杂。
案例:使用jieba分词
# 安装 jieba(如果未安装)
# !pip install jieba
import jieba
text="我喜欢数据挖掘"
jieba.lcut(text)
输出:
['我', '喜欢', '数据挖掘']4.2 词性标注与停用词过滤
1. 词性标注
词性标注就是给分词后的每个词语,打上一个表示其词性(Part-of-Speech, POS)的标签。比如,名词(n)、动词(v)、形容词(a) 等等。
- 输入:我 / 喜欢 / 数据挖掘 / 这门 / 有趣 / 的 / 课程
- 输出:我/r 喜欢/v 数据挖掘/n 这门/r 有趣/a 的/u 课程/n
这里 r=代词, v=动词, n=名词, a=形容词, u=助词
如果我们想从新闻中提取“谁-做了什么-在哪里”这样的信息,那么名词(人名、地名、机构名) 和动词(行为) 就是关键。词性标注能帮助我们快速定位这些关键信息。
2. 停用词过滤
停用词是指在文本中出现频率非常高,但本身携带信息量极少的词语。停用词过滤就是在预处理时,将这些词直接剔除。
中文常见停用词:
助词:的、地、得、了、着、过
连词:和、跟、与、同、而、或
介词:在、于、从、向、对、关于
语气词:啊、哦、嗯、吧、呢
标点符号:, 。 ! ? “ ”
一些代词、副词:我、你、他、很、都、就
过滤前:我 / 今天 / 非常 / 喜欢 / 这堂 / 关于 / 数据挖掘 / 的 / 课程
过滤后:今天 / 非常 / 喜欢 / 数据挖掘 / 课程
(去除了“我”、“这堂”、“关于”、“的”这些停用词)
为什么要过滤它们?
- 降低噪声,提升信号:停用词就像背景噪音。
- 减少特征维度,提高效率:一个中文停用词表通常有几百到上千个词。直接剔除它们,能显著减少我们特征向量的长度(词典大小),从而降低后续模型计算的开销,提升训练和预测的速度。
- 提升模型性能:通过去除无关的噪声特征,模型(如分类器)可以更专注于那些有区分度的词汇,从而通常能获得更好的准确率。
思考: 这个产品很好” vs “这个产品极其好”,停用词过滤后,还能区分出它们的情感吗?
4.3 文本表征
在文本预处理后,文本由句子变成了词语,但是计算机还无法直接处理词语,因此要将这些词语表示为数据挖掘算法可以处理的形式。常用的文本表征方法有词袋(Bag of Word,BoW)模型和词嵌入(Word Embedding)模型。
4.3.1 词袋模型(Bag of Word) 一种“简单粗暴”的表示法
核心思想:无视顺序,只数个数
请想象一个场景:有一个神奇的“袋子”(Bag),你拿着一篇文档,不管里面的词语是什么顺序,直接把所有词都扔进这个袋子里。然后,你唯一关心的是:这个袋子里,每种词分别出现了多少个?
这就是词袋模型的核心:它完全忽略词语在文档中的语法、语序和上下文关系,只关心两件事:
- 词表中都有哪些词?
- 在当前文档里,每个词出现了几次?
举例说明:
- 文档1: 我 喜欢 数据挖掘, 也 喜欢 机器学习。
- 我 出现 1 次 -> 1
- 喜欢 出现 2 次 -> 2
- 数据挖掘 出现 1 次 -> 1
- 机器学习 出现 1 次 -> 1
- 重要 出现 0 次 -> 0
- 分支 出现 0 次 -> 0
-----> 文档1的BOW向量:[1, 2, 1, 1, 0, 0]
文档2: 机器学习 是 数据挖掘 的 一个 重要 分支。
- 我 出现 0 次 -> 0
- 喜欢 出现 0 次 -> 0
- 数据挖掘 出现 1 次 -> 1
- 机器学习 出现 1 次 -> 1
- 重要 出现 1 次 -> 1
- 分支 出现 1 次 -> 1
----->文档2的BOW向量:[0, 0, 1, 1, 1, 1]
两篇原本是文字的文档,被成功地表示成了两个数字向量。这两个向量的长度等于词表的大小(这里是6)。我们可以用这些向量来计算文档间的相似度,或者输入给机器学习模型(如分类器)。
思考: 我吃苹果,和 苹果吃我 ? 它们的BOW向量是一样的吗? 合理吗?
4.3.2 词频-逆文档频率(TF-IDF) ----- 给词语加上“重要性”权重
核心思想:一个词的重要性,与它在当前文档中出现的频率成正比,与它在整个文档集合中出现的频率成反比。
公式:
TF-IDF:TF-IDF(词, 文档) = TF(词, 文档) * IDF(词)
TF(词频):衡量一个词在当前文档中有多重要。TF(词, 文档) = (词在文档中出现的次数) / (文档中的总词数)
IDF(逆文档频率):衡量一个词有多常见。越常见的词,权重越低。IDF(词) = log(文档集合中的文档总数 / (包含该词的文档数 + 1))
通俗理解:TF-IDF的聪明之处在于,它打压了“到处可见”的“普通词”,抬高了“独具特色”的“专业词”。
TF-IDF的优点是简单快速,易于理解 ,但是只用词频衡量文档中词的重要性还是不够全面,无法体现词在上下文中的重要性。因此虽然BoW和TF-IDF在各自方面都很受欢迎,但在理解文字背景方面仍然存在空白。因此又出现了Word2Vec、CBOW、Skip-gram等词嵌入技术。
python案例:👇
# 安装 jieba(如果未安装)
# !pip install jieba
import jieba
from sklearn.feature_extraction.text import TfidfVectorizer
# 定义中文分词函数
def chinese_tokenizer(text):
return list(jieba.cut(text))
# 定义3个中文文档
documents = [
"我喜欢自然语言处理",
"自然语言处理很有趣",
"我喜欢机器学习"
]
# 使用 jieba 分词 + TF-IDF
tfidf_vectorizer = TfidfVectorizer(tokenizer=chinese_tokenizer)
tfidf_matrix = tfidf_vectorizer.fit_transform(documents)
# 获取词汇表
feature_names = tfidf_vectorizer.get_feature_names_out()
# 转换为 DataFrame
df_tfidf = pd.DataFrame(
tfidf_matrix.toarray(),
columns=feature_names,
index=[f"文档{i+1}" for i in range(len(documents))]
)
print("词汇表(分词后):", feature_names)
print("\nTF-IDF 矩阵(分词后):")
display(df_tfidf)
4.4 文本分类--给文本贴标签的“智能秘书”
- 文本分类的定义
文本分类是典型的监督学习任务。其目标是:根据一个已经被标注好类别的训练集(例如,已知哪些是体育新闻,哪些是财经新闻),构建一个分类模型,从而能够自动为新的、未知的文本分配一个或多个预定义的类别标签。

2. 典型应用场景
- 垃圾邮件过滤 :二分类问题,判断邮件是“垃圾邮件”还是“正常邮件”。
- 新闻主题分类 :多分类问题,将新闻自动归类到“体育”、“财经”、“科技”、“娱乐”等板块。
- 情感分析 :判断一条评论或微博的情感倾向是“正面”、“负面”还是“中性”。
- 语言识别 :判断一篇文章是用什么语言写的(如中文、英文、法文)。
3. 基本流程 👇
- 准备训练数据:收集大量文本,并人工为其打上正确的标签。这是监督学习的基础。
- 文本预处理与特征提取:就是我们前几节课讲的内容!对训练文本进行分词、去停用词,并用BOW或TF-IDF将其转换为特征向量。
- 模型训练:将特征向量和对应的标签输入到分类算法中,训练出一个分类模型。
- 常用算法:
- 朴素贝叶斯:非常经典高效,尤其适合文本数据,假设特征(词语)之间相互独立。
- 支持向量机:效果强大,擅长处理高维数据。
- 逻辑回归:简单易懂,同样是非常优秀的基线模型。
- 深度学习模型:如CNN、RNN、BERT等,能捕捉更复杂的语义特征,但需要更多数据和时间。
- 常用算法:
- 预测新文本:当新的文本到来时,同样进行预处理和特征提取,然后使用训练好的模型预测其类别。
核心特点: 有师学习,需要带标签的训练数据。
4.5 文本聚类 发现文本中的“自然群落”
1. 定义
文本聚类是典型的无监督学习任务。其目标是:在没有任何先验标签的情况下,完全根据文本内容本身的相似性,将文档集合自动划分成若干个簇(Cluster),使得同一个簇内的文档彼此相似,不同簇间的文档差异较大。
打个比方:它像一个具有洞察力的市场分析师,面对一堆零散的客户反馈,没有人告诉他有哪些类别。他通过阅读和分析,自动发现这些反馈可以聚成几类:比如“抱怨物流问题的”、“称赞产品质量的”、“咨询售后服务的”。
2. 典型应用场景
- 主题发现 :从大量新闻或学术论文中,自动发现潜在的热门主题。
- 用户画像 :根据用户的搜索记录、评论内容等,将用户划分为不同的兴趣群体。
- 文档归档 :对公司内部大量未分类的文档进行自动整理归纳。
- 结果分组 :搜索引擎将相似的搜索结果归为一组,提升用户体验。
3. 基本流程: 👇
- 准备无标签数据 :收集需要分析的文本集合,不需要任何人工标注。
- 文本预处理与特征提取 :与分类相同,将文本转换为TF-IDF等特征向量。
- 聚类算法建模 :将特征向量输入聚类算法。
- 最常用算法 :K-Means聚类。你需要事先指定想要将数据聚成几类(K值)。
- 其他算法 :层次聚类(不需要指定K值,会形成一棵聚类树)、DBSCAN(能发现任意形状的簇)。
- 结果分析 :聚类完成后,需要人工分析每个簇的关键词(如计算簇内词的TF-IDF均值),来理解和解释每个簇代表的“主题”或“含义”。
核心特点: 无师学习,探索性分析,结果需要人工解释。
4.6 文本可视化:让数据“自己说话”
文本可视化将文本数据中蕴含的、难以直接观察的规律、模式和关系,通过图形化的手段直观地呈现出来。正所谓“ 一图胜千言 ”,它能让复杂的分析结果一目了然。


3.时序数据挖掘
时序数据挖掘
随着云计算和物联网等技术的发展,时间序列数据的数据量急剧膨胀。高效分析时间序列数据,使之产生业务价值成为一个热门话题。时间序列分析广泛应用于股票价格、广告数据、气温变化、工业传感器数据、个人健康数据、服务器系统监控数据和车联网等领域中。

0.为什么要学习时序数据分析?
- 适配海量动态数据场景 :现实中大量数据自带时间属性,比如股票价格、气温变化、用户行为轨迹、设备运行状态等,普通挖掘方法无法体现 “时间先后” 的关联价值,而时间序列分析正是针对这类数据的专属工具。
- 支撑预测与决策需求 :这是最核心的实用价值,通过分析历史时间序列的规律(如趋势、周期性、季节性),可实现未来预测,比如企业销量预测、交通流量预警、疫情传播趋势判断,直接为决策提供数据支撑。
- 补充传统数据挖掘的短板 :传统分类、聚类算法多假设数据独立分布,而时间序列数据存在 “时序相关性”(如今天的气温与昨天相关),时间序列分析能处理这种依赖性,避免模型失真,让分析结果更贴合实际。
1. 时间序列和时间序列分析
1.1. 时间序列
一个时间序列过程定义为一个随机过程,是指一个按时间排序的随机变量的集合,其中T是索引集合,表示定义时序过程以及产生观测值的一个时间集合。
比如:某股票在一天内每分钟的价格,某网站在一天内每分钟的访问量,某城市在一年内每个月的降雨量等。
时间序列可以分为平稳序列和非平稳序列。
平稳序列是指基本上不存在长期趋势的序列 ,各观测值基本上在某个固定的水平上波动,或虽有波动,但并不存在某种规律 。
非平稳序列是指有长期趋势、季节性和循环波动的复合型序列 ,其趋势可以是线性的,也可以是非线性的。
1.2. 时间序列分析
时间序列分析是一种动态数据处理的统计方法,该方法基于随机过程理论和数理统计学方法,研究随机数据序列所遵从的统计变化规律,以解决实际问题。通常影响时间序列变化的要素有长期趋势、季节变化、循环波动和随机因素。
- 长期趋势(T) :是时间序列在长时期内呈现出来的持续向上或持续向下的变动。
- 季节变动(S) :是时间序列在一年内重复出现的周期性波动。
- 循环波动(C) :是时间序列呈现出的非固定长度的周期性变动。
- 随机因素(I) :是时间序列中除去长期趋势、季节变动和循环波动之后的随机波动。不规则波动通常总是夹杂在时间序列中,致使时间序列产生一种波浪形或震荡式的变动。
2. 时间序列平稳性和随机性判定
上节课我们讲到,时间序列是按时间顺序记录的数据点。我们的核心目标是从过去的数据中找出规律,预测未来。但并不是所有序列都“乖乖听话”,可以直接被预测。我们首先要判断它的“脾气秉性”,而最重要的两个性格特征就是平稳性和随机性。
2.1. 时间序列的平稳性”
平稳性是时间序列的一个属性,一个平稳的时间序列指的是这个时间序列和时间无关,也就是说,如果一个时间序列是平稳的,那么这个时间序列的统计量均值、方差和自相关系数都是一个常数,和时间无关。
在做时间序列分析时,经常要对时间序列进行平稳性检验。用Python来进行平稳性检验主要有时序图检验、自相关图检验以及构造统计量进行检验3种方法。
其实这3中方法本质是 “直观观察→统计特征→量化验证 ” 层层递进,确保时序数据满足建模前提,避免后续分析出现偏差。
(1) 时序图检验:直观判断整体趋势
- 定义:就是普通的时间序列图,即以时间为横轴,观察值为纵轴进行检验。利用时序图可以粗略观察序列的平稳性。
- 作用:直接绘制 “时间→数据值” 的折线图,快速观察数据是否有明显趋势(如持续上升 / 下降)、季节性(如每月固定波动)或突变点。
- 必要性:如果时序图能直接看到趋势 / 季节性,说明数据大概率非平稳,无需复杂计算就能初步判断,是最快捷的 “初筛工具”。
import pandas as pd
import matplotlib.pyplot as plt
data = pd.read_excel('Bike_count.xls', index_col='Date', parse_dates=True) # 读取数据,设置索引为日期,并解析日期格式
fig = plt.figure(figsize=(10,5), dpi=100)
from matplotlib.dates import DateFormatter
plt.gca().xaxis.set_major_formatter(DateFormatter('%m-%d-%H')) # 设置x轴时间格式
plt.xticks(pd.date_range(data.index[0],data.index[-1],freq='3H'), rotation=45) # 设置x轴刻度
plt.plot(data['Total'])# 绘制时序图
数据走势没有明显趋势或周期,基本可以视为平稳序列,但还需要利用自相关图进一步验证。
(2)自相关图检验
自相关函数(autocorrelation function,ACF)描述的是时间序列观测值与其过去的观测值之间的线性相关性,表达式如式如下所示。

偏自相关函数(partial autocorrelation function,PACF)描述的是时间序列观测值与其过去的观测值之间的非线性相关性。
1. 先搞懂:什么是“相关性”?
相关性(Correlation) 就是两个东西 一起变化的程度。
比如,“冰淇淋销量”和“气温” 通常是正相关的(天热,冰淇淋卖得多)。
在时间序列里,我们关心的是 “今天的数据”和“过去某天的数据” 有没有关系。
2.ACF自相关函数
ACF是“今天的数据”和“过去若干天的数据”的相关性。
假设你记录了 每天的气温,你想知道:
“今天的气温”和“昨天的气温” 有多相关?(ACF(1))
“今天的气温”和“前天的气温” 有多相关?(ACF(2))
“今天的气温”和“10 天前的气温” 有多相关?(ACF(10))
如果 ACF(1) = 0.8,说明 今天的气温和昨天的气温高度相关(昨天热,今天也可能热)。
如果 ACF(10) ≈ 0,说明 10 天前的气温对今天基本没影响。
3.PACF偏自相关函数
PACF 是“今天的数据”和“过去某天的数据”的相关性,但 去掉了中间那些天的干扰。
今天的气温”和“3 天前的气温” 有多相关?(PACF(3))
但是!不能直接看 ACF(3),因为 ACF(3) 里包含了 2 天前、1 天前的影响。
3 天前的气温可能影响 2 天前、1 天前 的气温,进而影响今天的气温。
PACF(3) 会“过滤掉” 2 天前、1 天前的影响,只看 3 天前和今天的直接关系。
4.拖尾和截尾
- 拖尾是 ACF 和 PACF 的共同特点, 它们的图形在某个滞后期之后 会逐渐变为 0。
- 截尾是 突然 “截止” 的意思, 意味着 “截止到某个滞后期, 相关性为 0”。
from statsmodels.graphics.tsaplots import plot_acf
from statsmodels.graphics.tsaplots import plot_pacf
plt.rcParams['font.family'] = ['SimHei']
plt.rcParams['axes.unicode_minus'] = False
# plt.subplot(2,1,1)
plot_acf(data.Total) #生成自相关图
plt.xlabel('滞后期数')
plt.ylabel('自相关系数')
# plt.subplot(2,1,2)
plot_pacf(data.Total) #生成偏自相关图
plt.xlabel('滞后期数')
plt.ylabel('偏自相关图')
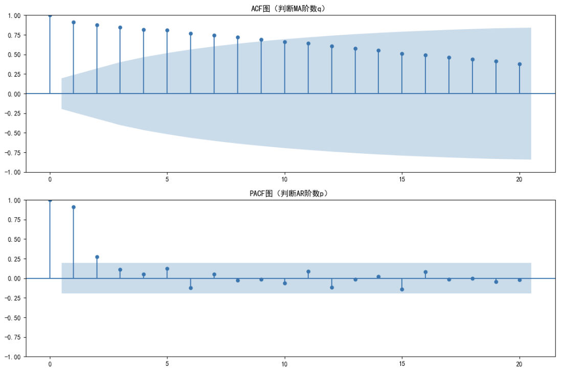
ACF:自相关系数,描述时间序列在时间上的依赖性。判断MA(q)值
PACF:偏自相关系数,描述时间序列在时间上的相关性。判断AR(p)值
首选:AR(1)模型(p=1, q=0) 依据:PACF在1阶截尾更明显,因此q=1;ACF是拖尾,不用考虑阶数q=0
(3)构造统计量
利用绘图判断序列的平稳性比较直观,但不够精确,ADF(Augmented Dickey-Fuller)法直接通过假设检验的方式来验证平稳性。通过构建统计量(如 ADF 的 t 统计量、LB 的卡方统计量)和对应的 p 值,从概率角度 “量化判断” 数据是否平稳。
2.2 时间序列纯随机性检验
如果时间序列值之间没有相关性,即意味着该序列是一个没有记忆的序列,过去的行为对将来的发展没有任何影响,这种序列被称为纯随机序列。从统计分析的角度,纯随机序列是没有任何分析价值的序列。因此,为了确定平稳序列的分析价值,需要进行纯随机性检验。
如果一个时间序列满足:
- 每个数据点都是 “独立的”:比如今天的数值和昨天、前天、上个月的数值毫无关系;
- 没有任何规律:既没有上升 / 下降趋势,也没有季节性(比如每月波动),更没有周期性;
- 就像 “无头苍蝇” 乱撞:下一个数值完全随机,没法通过历史数据预测。
这种序列就是「纯随机序列」,也叫 “白噪声序列”(比如完全随机生成的一串数字)
为什么要做纯随机性检验?
别在 “无用数据” 上浪费时间。如果检验结果是纯随机序列,直接放弃深入分析(比如预测、找规律),节省时间和精力。
Q统计量和LB统计量都用来检验序列是否纯随机,LB 是 Q 的改进版,更精准、适用场景更广。
原理:🍐
不用记公式!记住核心思路:“把多个自相关系数‘打包’成一个指标,判断是否全为 0 。
1. 类比理解:班级成绩是否 “全是随机分”
假设要判断一个班级的成绩是不是 “纯随机打分”(对应序列是否纯随机):
第一步:看每个学生的成绩和其他人的相关性(对应 “自相关系数”:比如第 1 名和第 2 名、第 1 名和第 3 名的分数关联);
第二步:把所有 “相关性” 汇总成一个 “综合分数”(对应 Q/LB 统计量);
第三步:如果这个 “综合分数” 太高,说明成绩不是随机的(有规律,比如学霸分数都高);如果太低,说明是随机的(没规律)。
2. 对应到统计量的核心逻辑:
对于时间序列,我们先算前 k 个 “自相关系数”(比如 k=10:看 t1 和 t2、t1 和 t3……t1 和 t11 的关联);
Q 统计量:把这 k 个自相关系数的平方加起来,再乘以样本量 n(简单粗暴的 “打包”);
LB 统计量:在 Q 的基础上,加了一个 “修正因子”——(n+2)/(n-j)(j 是自相关系数的滞后阶数),相当于 “校准了样本量小的误差”。
python案例:👇
# 1. 导入所需库
import pandas as pd
import numpy as np
import matplotlib.pyplot as plt
from statsmodels.stats.diagnostic import acorr_ljungbox # LB统计量检验函数
from statsmodels.tsa.stattools import adfuller # 平稳性检验(辅助验证)
# 2. 设置中文显示(避免图表乱码)
plt.rcParams['font.family'] = ['SimHei']
plt.rcParams['axes.unicode_minus'] = False
# 3. 生成两类测试序列
## 3.1 生成纯随机序列(白噪声序列,无规律)
np.random.seed(42) # 固定随机种子,结果可复现
random_seq = pd.Series(np.random.normal(loc=0, scale=1, size=100)) # 100个服从正态分布的随机数
random_seq.index = pd.date_range(start='2023-01-01', periods=100, freq='D') # 日度时间索引
## 3.2 生成非纯随机序列(含趋势+轻微波动,有规律)
trend_seq = pd.Series([i*0.5 + np.random.randint(-2, 3) for i in range(100)]) # 线性趋势+小波动
trend_seq.index = pd.date_range(start='2023-01-01', periods=100, freq='D') # 日度时间索引
# 4. 可视化两类序列(直观对比)
plt.figure(figsize=(12, 6))
# 4.1 纯随机序列图
plt.subplot(2, 1, 1)
plt.plot(random_seq, color='blue', linewidth=1)
plt.title('纯随机序列(白噪声)', fontsize=12)
plt.xlabel('时间')
plt.ylabel('数值')
plt.grid(alpha=0.3)
# 4.2 非纯随机序列图
plt.subplot(2, 1, 2)
plt.plot(trend_seq, color='red', linewidth=1)
plt.title('非纯随机序列(含线性趋势)', fontsize=12)
plt.xlabel('时间')
plt.ylabel('数值')
plt.grid(alpha=0.3)
plt.tight_layout()
plt.show()
# 5. 纯随机性检验(LB统计量)
## 5.1 对纯随机序列检验
lb_random = acorr_ljungbox(random_seq, lags=10) # lags=10:取前10个滞后期
print("="*50)
print("纯随机序列的LB检验结果:")
print(lb_random) # 输出包含LB统计量(lb_stat)和P值(lb_pvalue)的DataFrame
## 5.2 对非纯随机序列检验
lb_trend = acorr_ljungbox(trend_seq, lags=10)
print("\n" + "="*50)
print("非纯随机序列的LB检验结果:")
print(lb_trend)
# 6. 结果汇总(简化解读)
print("\n" + "="*50)
print("检验结果汇总:")
print(f"纯随机序列 - LB统计量均值:{lb_random['lb_stat'].mean():.2f},P值均值:{lb_random['lb_pvalue'].mean():.2f}")
print(f"非纯随机序列 - LB统计量均值:{lb_trend['lb_stat'].mean():.2f},P值均值:{lb_trend['lb_pvalue'].mean():.6f}")
结论:👇
| 序列类型 | 检验核心结果 | 最终结论(是否有分析价值) |
|---|---|---|
| 纯随机序列 | P 值均值 = 0.74(远≥0.05) | 无分析价值(无需建模) |
| 非纯随机序列 | P 值均值 = 0.000000(远 < 0.05) | 有分析价值(可继续建模) |
与传统阈值的对比:
| p值范围 | 统计结论 | 证据强度 |
|---|---|---|
| p > 0.1 | → 接受白噪声假设 | ✅ 较强证据 |
| p > 0.05 | → 接受白噪声假设 | ✅ 标准证据 |
| p > 0.4 | → 强烈接受白噪声假设 | ✅✅ 很强证据 |
| p < 0.05 | → 拒绝白噪声假设 | ❌ 序列有规律 |
2.3 自回归滑动平均ARMA模型
| 序列类型 | 平稳性 | 随机性 | 例子 | 是否可预测 |
|---|---|---|---|---|
| 平稳非白噪声 | ✅ 平稳 | ❌ 非纯随机 气温变化、股票收益率 | ✅ 可预测 | |
| 平稳白噪声 | ✅ 平稳 | ✅ 纯随机 | 完全随机数 | ❌ 不可预测 |
| 非平稳非白噪声 | ❌ 非平稳 | ❌ 非纯随机 | GDP增长趋势 | ⚠️ 需先平稳化 |
| 非平稳白噪声 | ❌ 非平稳 | ✅ 纯随机 | 带趋势的随机游走 | ❌ 不可预测 |
一个序列经过预处理被识别为平稳非白噪声序列,说明该序列是一个蕴涵相关信息的平稳序列。通常是建立一个线性模型来拟合该序列的发展,以此提取序列中的有用信息。
ARMA 模型的作用就是:用一个简单的线性模型,“捕捉” 这个序列的内在规律,然后用这个规律做预测。
比如用过去 10 天的气温数据拟合模型,预测未来 3 天的气温;用过去 1 个月的销量数据建模,预测下一周的销量。
ARMA模型本质上是一个模型族,可以细分为AR模型、MA模型和ARMA模型三大类。
- 自回归模型 AR (p):“用过去的自己预测现在”,比如用昨天和前天的气温预测今天的气温;
现在 = 过去的加权和 + 误差
- 移动平均模型 MA (q):“用过去的误差修正现在”,比如用昨天的气温误差预测今天的气温;
现在 = 均值 + 过去误差的加权和
- 自回归移动平均模型 ARMA (p,q):“用过去的自己和误差预测现在”,比如用昨天和前天的气温误差预测今天的气温。
现在 = 过去自身 + 过去误差 + 新误差
ARMA模型建模流程如图下所示:

ARMA 是平稳非白噪声序列的 “规律捕捉工具”,AR 靠过去的自己、MA 靠过去的误差、ARMA 两者结合,核心是 “定阶→拟合→检验→预测”,搞定这四步就能用历史数据推未来!
2.4 差分整合移动平均自回归ARIMA模型
上节课学的 ARMA 模型有个 “软肋”:只能处理 平稳非白噪声序列(没有趋势、没有季节性)。但现实中,大部分时间序列都是 “不平稳” 的 —— 比如逐年增长的销售额、夏季高峰的用电量、节假日波动的客流量(有趋势 / 季节性)。
ARIMA 模型的作用就是:解决非平稳序列的预测问题—— 它先通过 “差分” 把非平稳序列变成平稳序列,再用 ARMA 模型拟合规律,最后反向还原预测结果。
简单说:ARIMA = ARMA + 差分整合,是 ARMA 模型的 “升级款”,适用范围更广(平稳、非平稳序列都能处理),是时间序列预测的 “万能基础工具”。
python案例:👇
我们用北京市2023年1月1日-4月10日的日平均气温数据(共100天),目标是:
- 用ARMA模型捕捉气温的时间相关性规律
- 预测未来5天的日平均气温
# 1. 导入核心库
import pandas as pd
import numpy as np
import matplotlib.pyplot as plt
from statsmodels.tsa.stattools import adfuller # 平稳性检验
from statsmodels.graphics.tsaplots import plot_acf, plot_pacf # 定阶
from statsmodels.tsa.arima.model import ARIMA # ARMA模型(d=0)
from statsmodels.stats.diagnostic import acorr_ljungbox # 残差检验
import warnings
warnings.filterwarnings('ignore') # 忽略无关警告
# 2. 准备数据(模拟北京市日平均气温数据,单位:℃)
# 生成逻辑:基础趋势+季节波动+随机噪声(模拟真实气温特征)
np.random.seed(42)
dates = pd.date_range(start='2023-01-01', periods=100, freq='D') # 100天数据
trend = np.linspace(-5, 15, 100) # 基础升温趋势(1月到4月)
seasonal = 3 * np.sin(np.linspace(0, 4*np.pi, 100)) # 小幅周度波动
noise = np.random.normal(0, 1.5, 100) # 随机噪声
temp_data = trend + seasonal + noise # 合成气温数据
temp_series = pd.Series(temp_data, index=dates, name='日平均气温')
# 查看数据前5行
print("气温数据前5行:")
print(temp_series.head())
# 3. 可视化原始数据
plt.figure(figsize=(12, 4))
plt.plot(temp_series, color='blue')
plt.title('北京市日平均气温时间序列(2023.1-2023.4)', fontsize=14)
plt.xlabel('日期')
plt.ylabel('气温(℃)')
plt.grid(alpha=0.3)
plt.show()
# 4. 步骤1:平稳性检验(ARMA建模前提)
def check_stationarity(series):
"""ADF检验判断平稳性"""
adf_result = adfuller(series)
print("\n平稳性检验(ADF)结果:")
print(f"ADF统计量: {adf_result[0]:.2f}")
print(f"p值: {adf_result[1]:.4f}")
print(f"结论: {'平稳' if adf_result[1] < 0.05 else '非平稳,需差分'}")
return adf_result[1] < 0.05 # 返回是否平稳的布尔值
is_stationary = check_stationarity(temp_series)
# 5. 步骤2:若非平稳则差分(这里数据已平稳,跳过差分)
# 若实际数据非平稳,需执行:stationary_series = temp_series.diff().dropna()
stationary_series = temp_series # 当前数据平稳,直接使用
# 6. 步骤3:定阶(ACF/PACF图判断p和q)
plt.figure(figsize=(12, 8))
# ACF图(判断MA阶数q:看截尾位置)
plt.subplot(2, 1, 1)
plot_acf(stationary_series, lags=20, ax=plt.gca()) # 显示前20阶滞后
plt.title('ACF图(判断MA阶数q)', fontsize=12)
# PACF图(判断AR阶数p:看截尾位置)
plt.subplot(2, 1, 2)
plot_pacf(stationary_series, lags=20, ax=plt.gca(), method='ywm') # 避免边界效应
plt.title('PACF图(判断AR阶数p)', fontsize=12)
plt.tight_layout()
plt.show()
# 根据图形观察定阶(示例结论:ACF拖尾,PACF在2阶截尾 → p=2, q=0)
p, q = 2, 0 # PACF在2阶截尾 p=2,q=0即不使用MA项
# 7. 步骤4:拟合ARMA模型(ARMA(p,q) = ARIMA(p,0,q))
model = ARIMA(temp_series, order=(p, 0, q)) # order=(p, d, q),d=0表示平稳序列
model_fit = model.fit()
# 输出模型参数(核心关注coef和P>|z|,P值越小参数越显著)
print("\nARMA模型参数表:")
print(model_fit.summary().tables[1])
# 8. 步骤5:残差检验(LB检验,判断模型是否捕捉所有规律)
residuals = model_fit.resid # 获取残差(实际值-预测值)
lb_test = acorr_ljungbox(residuals, lags=10) # 检验前10阶滞后
lb_pvalue_mean = lb_test['lb_pvalue'].mean() # 平均p值
print("\n残差纯随机性检验(LB检验):")
print(f"残差P值均值: {lb_pvalue_mean:.2f}")
print(f"模型效果: {'优秀(残差纯随机)' if lb_pvalue_mean >= 0.05 else '需优化(残差有规律)'}")
# 9. 步骤6:预测未来5天气温
forecast_days = 5 # 预测未来5天
forecast = model_fit.get_forecast(steps=forecast_days) # 获取预测结果和置信区间
forecast_values = forecast.predicted_mean # 预测值
conf_int = forecast.conf_int() # 95%置信区间
# 生成预测日期索引
forecast_index = pd.date_range(start=temp_series.index[-1]+pd.Timedelta(days=1), periods=forecast_days)
forecast_series = pd.Series(forecast_values, index=forecast_index, name='预测气温')
# 打印预测结果
print("\n未来5天气温预测结果:")
print(forecast_series.round(1)) # 保留1位小数
# 10. 可视化预测结果(历史数据+预测值+置信区间)
plt.figure(figsize=(12, 5))
# 绘制历史数据
plt.plot(temp_series[-30:], color='blue', label='历史气温(最后30天)') # 只显示最近30天
# 绘制预测值
plt.plot(forecast_series, color='red', marker='o', label='未来5天预测气温')
# 绘制置信区间(不确定性范围)
plt.fill_between(conf_int.index, conf_int.iloc[:,0], conf_int.iloc[:,1], color='pink', alpha=0.3, label='95%置信区间')
plt.title(f'ARMA({p},{q})模型气温预测结果', fontsize=14)
plt.xlabel('日期')
plt.ylabel('气温(℃)')
plt.legend()
plt.grid(alpha=0.3)
plt.show()


2.5 季节性差分自回归移动平均模型SARIMA
上节课学的 ARIMA 模型能解决 “有趋势的非平稳序列”(比如逐年增长的营收),但遇到 带季节性的序列 就 “束手无策” 了—— 比如:
- 冰淇淋销量 :每年夏季暴涨、冬季低迷(年度季节性);
- 电商订单量 :每月 11 日、12 日(促销日)激增(月度季节性);
- 电力负荷: 每天早 8 点、晚 7 点(上下班高峰)飙升(日度季节性)。
简单说:SARIMA = ARIMA + 季节性差分 + 季节性 AR/MA 项,是处理季节性序列的 “专属神器”。
ARIMA和SARIMA的核心作用 👇
| 模型 | 解决的问题 | 奶茶店案例中的操作 |
|---|---|---|
| ARMA | 平稳序列(无趋势、无季节) | 仅用于消除趋势和季节后的纯随机波动建模 |
| ARIMA | 非平稳序列(有趋势) | 通过"1阶差分"消除长期增长趋势 |
| SARIMA | 季节性非平稳序列 | 通过"季节性差分(如7阶)"消除周期波动 |
- ARMA:处理"平稳无周期"的数据(如每日心率波动)。
- ARIMA:处理"有趋势但无周期"的数据(如个人月收入增长)。
- SARIMA:处理"既有趋势又有周期"的数据(如奶茶店销量、空调销量)。
三者本质是"递进关系",核心是通过差分(趋势差分、季节差分) 让序列平稳,再用ARMA捕捉剩余规律。
