数据仓库与数据挖掘
聚类
1. 聚类分析概述
组合分类
1. 什么是聚类?—— 从整理房间说起
生活中的聚类例子
想象你要整理一个混乱的房间:
- 书本放在书架上
- 衣服挂在衣柜里
- 文具收进笔筒
- 食品放进冰箱
这个过程就是聚类!你把相似的物品归为一类,让房间变得有序。
聚类是一种 无监督学习方法,目标是将数据分成不同的组(簇),使得:
- 同一簇内的数据点尽可能相似
- 不同簇之间的数据点尽可能不同
| 特征 | 分类 | 聚类 |
|---|---|---|
| 是否有标签 | 有标签(监督学习) | 无标签(无监督学习) |
| 目标 | 预测新数据的类别 | 发现数据的内在结构 |
| 例子 | 判断邮件是垃圾邮件还是正常邮件 | 将客户分成不同的群体 |

2. 聚类算法的分类
2.1 基于划分的方法
- 代表算法:K-Means
- 思想:将数据划分成K个簇,每个簇有一个中心点
- 特点:需要预先指定簇的数量K
2.2 基于层次的方法
- 代表算法:凝聚层次聚类,分裂层次聚类
- 思想:通过层层合并或分裂来构建树状结构
- 特点:不需要指定K值,结果呈现树状图
2.3 基于密度的方法
- 代表算法:DBSCAN
- 思想:根据数据点的密度来形成簇
- 特点:能发现任意形状的簇,对噪声不敏感
2.4 基于网格的方法
- 代表算法:STING, CLIQUE
- 思想:将数据空间划分为网格单元进行处理
- 特点:处理速度快,适合大数据集
2. K-Means聚类算法
组合分类
1. K-Means算法的原理
K-Means原理:一个分组的游戏
游戏规则:
- 随机选择K个点作为初始中心点(质心)
- 将每个数据点分配给最近的中心点
- 重新计算每个簇的中心点(取平均值)
- 重复步骤2-3,直到中心点不再变化
K-Means的数学原理,目标函数(簇内平方和):

k:簇的数量; Ci:第i个簇; μi:第i个簇的中心点;x:数据点
1. **初始化簇中心**
随机选择( K )个样本作为初始簇中心
2. **分配样本到最近簇**
对每个样xi,计算与所有簇中心的距离,分配到距离最近的簇:
3. **更新簇中心**
重新计算每个簇的中心为簇内样本的均值:
4. **收敛判断**
重复步骤2和3,直到:
- 簇中心不再变化(或变化小于预设阈值)
- 达到最大迭代次数2. K-Means的改进与变体
问题:原始K-Means对初始中心点敏感,可能陷入局部最优
解决方案:K-Means++
- 第一个中心点随机选择
- 后续中心点选择远离已选中心点的数据点
- 大大提高了算法的稳定性和收敛速度
3. 对比K-Means和K-Means++
案例代码:👇
# K-Means vs K-Means++ 比较
from sklearn.cluster import KMeans
from sklearn.datasets import make_blobs
# 生成数据
X, y_true = make_blobs(n_samples=300, centers=5, cluster_std=0.60, random_state=42)
# 300个样本,4个簇,每个簇的标准差为0.6,随机种子为42
plt.figure(figsize=(15, 5))
# 原始K-Means(多次运行显示不稳定性)
plt.subplot(1, 3, 1)
for i in range(5):
kmeans = KMeans(n_clusters=4, init='random', n_init=1, random_state=i) # 初始化1次,每次都选择不同的质心
y_pred = kmeans.fit_predict(X)
plt.scatter(X[:, 0], X[:, 1], c=y_pred, alpha=0.6)
plt.title('K-Means')
# K-Means++
plt.subplot(1, 3, 2)
kmeans_plus = KMeans(n_clusters=4, init='k-means++', n_init=10, random_state=42) # 初始化10次,每次都选择不同的质心
y_pred_plus = kmeans_plus.fit_predict(X)
plt.scatter(X[:, 0], X[:, 1], c=y_pred_plus, alpha=0.6)
plt.title('K-Means++\n')
# 真实分布
plt.subplot(1, 3, 3)
plt.scatter(X[:, 0], X[:, 1], c=y_true, alpha=0.6)
plt.title('真实分布')
plt.tight_layout()
plt.show()
从上图我们发现K-Means聚类简洁高效,适合大规模数据挖掘,但是K-Means需要预先指定簇的数量,而类别数实现很难获取 .
3. 层级聚类
层级聚类
前面我们学习了K-Means聚类算法,它是基于划分的方法,需要预先指定簇的数量。而层级聚类是一种基于层次的方法,不需要预先指定簇的数量,它通过连续合并或分裂来构建一个树状的聚类结构。
1. 什么是层级聚类?—— 从家族关系说起
1.什么是层级聚类?—— 从家族关系说起
想象你要整理一个家族的族谱:
最底层 :每个家庭成员是独立的个体
上一层 :兄弟姐妹组成小家庭
再上一层 :几个小家庭组成大家族
最顶层 :整个家族汇聚在一起
这个过程就是层级聚类!

层级聚类通过连续 合并或分裂 来构建一个 树状的聚类结构,不需要预先指定簇的数量 。
2. 为什么需要不同的距离度量?
想象你要判断两个班级学生的亲近程度,有不同方法:
- 看两个班最熟的两个人(单链接)
- 看两个班最陌生的两个人(全链接)
- 看两个班平均熟悉程度(平均链接)
- 看两个班长的关系(质心法)
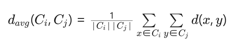
2.1 最短距离法(单链接法)
📌 定义:
两个簇中最近的两个数据点之间的距离
📐 距离公式:

🎯 核心思想:
"只要两个簇中有任何两个点很接近,就认为这两个簇是亲近的"
📊 应用场景:
发现链状结构 :适合识别非球形的、拉长的簇
异常检测 :能够将离群点单独分离
形状复杂的簇 :适用于簇形状不规则的情况
⚠️ 注意事项:
容易产生"链式效应",可能把本不该在一起的簇连接起来
2.2 最长距离法(全链接法)
📌定义:
两个簇中最远的两个数据点之间的距离
📐 距离公式:

🎯 核心思想:
"必须两个簇中所有点都相对接近,才认为这两个簇是亲近的"
📊 应用场景:
- 紧凑球形簇:适合发现大小均匀的球形簇
- 质量要求高:当需要簇内点之间距离都很小时
- 噪声数据处理:对异常值比较敏感,能产生紧凑的簇
⚠️ 注意事项:
可能过度拆分数据,把本应在一起的簇分开
2.3 类平均法(平均链接法)
📌 定义:
两个簇中所有点对之间的平均距离
📐 距离公式:
🎯 核心思想:
"看两个簇之间整体的平均亲近程度"
📊应用场景:
一般聚类分析:最常用、最平衡的方法
不知道数据特性时:作为默认选择
稳健性要求高:对噪声的敏感度介于最短和最远之间
⚠️ 注意事项:
计算量相对较大,但通常效果最好 👈 👈 👈
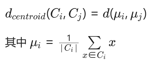
2.4 中心法(质心法)
📌定义:
两个簇的中心点(质心)之间的距离
📐 距离公式:

🎯 核心思想:
"看两个簇的代表点(中心)之间的距离"
📊 应用场景:
- 球形分布数据:当簇呈球形分布时效果最好
- 概念直观:适合需要容易解释的场景
- 计算效率:相对计算量较小
⚠️ 注意事项:
当簇大小差异很大时可能效果不佳
3. 分裂层次聚类(自顶向下)
🎯 基本思想:从整体开始,逐步分裂
🗺️ 生活比喻:国家行政区划
开始:整个中国作为一个整体
第一步:分成34个省级行政区
第二步:每个省分成多个地级市
第三步:每个市分成多个区县
最终:得到基层行政单位📊 算法步骤:
初始状态:所有点在一个大簇中
↓
选择最需要分裂的簇
↓
将该簇分裂为两个子簇
↓
重复直到每个点独立或满足停止条件4. 凝聚层次聚类(自底向上)
🎯 基本思想:从个体开始,逐步合并
📊 算法步骤:
初始状态:每个点都是一个簇
↓
找到距离最近的两个簇并合并
↓
更新距离矩阵
↓
重复直到所有点合并为一个簇🏢 生活比喻:公司合并过程
开始:每个小公司独立运营
第一步:A公司和B公司合并
第二步:C公司和D公司合并
第三步:AB集团和CD集团合并
最终:形成一个大集团公司凝聚法更常用:
- 实现简单:合并策略比分裂策略更容易实现
- 结果稳定:不容易受到随机性的影响
- 计算可行:虽然复杂度高,但对中小数据集可行
5. 案例代码
4. 基于密度的聚类
基于密度的聚类
1. 从生活中的密度概念说起
生活中的密度现象:
- 人群聚集:商场里人群密集的地方形成"热点区域"
- 星星分布:宇宙中星星密集的地方形成"星系"
- 城市发展:人口密集的地方形成"城市中心"
K-Means和层次聚类有什么局限?
- 只能发现球形的簇
- 对噪声点敏感
- 无法发现任意形状的簇
2. 基于密度聚类的核心思想
🎯 **基本理念:**物以类聚,人以群分
密度聚类认为:
- 簇是数据空间中高密度区域
- 噪声存在于低密度区域
- 不同簇之间被低密度区域分隔
3. DBSCAN算法(最经典的密度聚类算法)
3.1 三个核心概念:
1. ε-邻域: 以点p为中心,半径为ε的圆形区域
2. 核心点: 如果点p的ε-邻域内至少包含MinPts个点(包括自己),则p为核心点
3. 密度直达: 点q在点p的ε-邻域内,且p是核心点,那么q从p密度直达
3.2 算法步骤
1. 标记所有点为未访问
2. 随机选择一个未访问点p
3. 如果p是核心点:
- 创建新簇C
- 将p及所有密度可达点加入C
4. 如果p是噪声点,标记为噪声
5. 重复直到所有点被访问4. DBSCAN聚类算法实战:鸢尾花数据集分析
- 数据加载和探索
import numpy as np
import matplotlib.pyplot as plt
from sklearn.datasets import load_iris
from sklearn.cluster import DBSCAN
from sklearn.preprocessing import StandardScaler
import pandas as pd
# 设置中文字体
plt.rcParams['font.sans-serif'] = ['SimHei']
plt.rcParams['axes.unicode_minus'] = False
print("=== 简单DBSCAN鸢尾花聚类案例 ===\n")
# 加载数据
iris = load_iris()
X = iris.data # 特征:花萼长度、花萼宽度、花瓣长度、花瓣宽度
y = iris.target # 真实类别:0-setosa, 1-versicolor, 2-virginica
print("数据基本信息:")
print(f"样本数: {X.shape[0]}, 特征数: {X.shape[1]}")
print(f"真实类别分布: Setosa-50, Versicolor-50, Virginica-50")
# 只看前两个特征方便可视化
X_simple = X[:, :2] # 只用花萼长度和花萼宽度
print(f"\n使用前两个特征进行聚类: {iris.feature_names[:2]}")结果:
=== 简单DBSCAN鸢尾花聚类案例 ===
数据基本信息:
样本数: 150, 特征数: 4
真实类别分布: Setosa-50, Versicolor-50, Virginica-50
使用前两个特征进行聚类: ['sepal length (cm)', 'sepal width (cm)']- 数据标准化
# DBSCAN对数据尺度敏感,需要标准化
scaler = StandardScaler()
X_scaled = scaler.fit_transform(X_simple)
print("标准化完成!")
print("原始数据范围:", f"花萼长度: {X_simple[:,0].min():.1f}-{X_simple[:,0].max():.1f}",
f"花萼宽度: {X_simple[:,1].min():.1f}-{X_simple[:,1].max():.1f}")
print("标准化后范围:", f"花萼长度: {X_scaled[:,0].min():.1f}-{X_scaled[:,0].max():.1f}",
f"花萼宽度: {X_scaled[:,1].min():.1f}-{X_scaled[:,1].max():.1f}")结果:
标准化完成!
原始数据范围: 花萼长度: 4.3-7.9 花萼宽度: 2.0-4.4
标准化后范围: 花萼长度: -1.9-2.5 花萼宽度: -2.4-3.1- 可视化原始数据
# 绘制原始数据分布
plt.figure(figsize=(15, 5))
plt.subplot(1, 3, 1)
colors = ['red', 'blue', 'green']
for i in range(3):
plt.scatter(X_simple[y == i, 0], X_simple[y == i, 1],
c=colors[i], label=iris.target_names[i], alpha=0.7)
plt.xlabel('花萼长度')
plt.ylabel('花萼宽度')
plt.title('原始数据 - 真实分类')
plt.legend()
plt.grid(True, alpha=0.3)
# 绘制标准化后的数据
plt.subplot(1, 3, 2)
for i in range(3):
plt.scatter(X_scaled[y == i, 0], X_scaled[y == i, 1],
c=colors[i], label=iris.target_names[i], alpha=0.7)
plt.xlabel('标准化花萼长度')
plt.ylabel('标准化花萼宽度')
plt.title('标准化后数据')
plt.legend()
plt.grid(True, alpha=0.3)
plt.tight_layout()
plt.show()
print("\n观察数据分布:")
print("• Setosa类(红色)明显与其他两类分开")
print("• Versicolor和Virginica有部分重叠")
print("• 这正是DBSCAN可以发挥优势的地方!")
观察数据分布:
- Setosa类(红色)明显与其他两类分开
- Versicolor和Virginica有部分重叠
- 这正是DBSCAN可以发挥优势的地方!
- 运行DBSCAN聚类
# 使用DBSCAN进行聚类
print("\n开始DBSCAN聚类...")
# 设置参数:epsilon=0.5, min_samples=5
dbscan = DBSCAN(eps=0.5, min_samples=5)
labels = dbscan.fit_predict(X_scaled)
# 分析聚类结果
n_clusters = len(set(labels)) - (1 if -1 in labels else 0)
n_noise = list(labels).count(-1)
print("聚类结果:")
print(f"识别出的簇数量: {n_clusters}")
print(f"噪声点数量: {n_noise}")
print(f"聚类标签: {set(labels)}")
# 显示每个簇的样本数
for i in range(n_clusters):
cluster_size = list(labels).count(i)
print(f"簇{i}的样本数: {cluster_size}")结果:
开始DBSCAN聚类...
聚类结果:
识别出的簇数量: 1
噪声点数量: 8
聚类标签: {np.int64(0), np.int64(-1)}
簇0的样本数: 142- 可视化聚类结果
# 绘制聚类结果
plt.figure(figsize=(15, 5))
# DBSCAN聚类结果
plt.subplot(1, 3, 1)
# 为每个簇分配颜色
cluster_colors = ['blue', 'green', 'orange', 'purple', 'brown']
noise_color = 'red'
for cluster_id in range(n_clusters):
mask = labels == cluster_id
plt.scatter(X_simple[mask, 0], X_simple[mask, 1],
c=cluster_colors[cluster_id], label=f'簇{cluster_id}', alpha=0.7)
# 标记噪声点
if n_noise > 0:
noise_mask = labels == -1
plt.scatter(X_simple[noise_mask, 0], X_simple[noise_mask, 1],
c=noise_color, label='噪声点', marker='x', s=100)
plt.xlabel('花萼长度')
plt.ylabel('花萼宽度')
plt.title('DBSCAN聚类结果')
plt.legend()
plt.grid(True, alpha=0.3)
# 与真实分类对比
plt.subplot(1, 3, 2)
for i in range(3):
plt.scatter(X_simple[y == i, 0], X_simple[y == i, 1],
c=colors[i], label=iris.target_names[i], alpha=0.7)
plt.xlabel('花萼长度')
plt.ylabel('花萼宽度')
plt.title('真实分类')
plt.legend()
plt.grid(True, alpha=0.3)
# 并排对比
plt.subplot(1, 3, 3)
# 用形状区分DBSCAN结果,用颜色区分真实类别
markers = ['o', 's', '^', 'D', 'v'] # 不同形状表示不同簇
for cluster_id in range(n_clusters):
mask = labels == cluster_id
for true_class in range(3): # 在每个簇内按真实类别着色
class_mask = mask & (y == true_class)
if np.sum(class_mask) > 0:
plt.scatter(X_simple[class_mask, 0], X_simple[class_mask, 1],
c=colors[true_class], marker=markers[cluster_id],
label=f'簇{cluster_id}-{iris.target_names[true_class]}',
alpha=0.7)
if n_noise > 0:
noise_mask = labels == -1
plt.scatter(X_simple[noise_mask, 0], X_simple[noise_mask, 1],
c='black', marker='x', s=100, label='噪声点')
plt.xlabel('花萼长度')
plt.ylabel('花萼宽度')
plt.title('DBSCAN结果 vs 真实类别')
plt.legend()
plt.grid(True, alpha=0.3)
plt.tight_layout()
plt.show()
- 分析聚类效果
# 简单分析聚类质量
print("\n=== 聚类效果分析 ===")
# 检查每个簇的真实类别构成
for cluster_id in range(n_clusters):
mask = labels == cluster_id
cluster_true_labels = y[mask]
print(f"\n簇{cluster_id} ({len(cluster_true_labels)}个样本):")
for true_class in range(3):
count = np.sum(cluster_true_labels == true_class)
if count > 0:
percentage = count / len(cluster_true_labels) * 100
print(f" {iris.target_names[true_class]}: {count}个 ({percentage:.1f}%)")
# 分析噪声点
if n_noise > 0:
noise_mask = labels == -1
noise_true_labels = y[noise_mask]
print(f"\n噪声点分析 ({n_noise}个):")
for true_class in range(3):
count = np.sum(noise_true_labels == true_class)
if count > 0:
percentage = count / n_noise * 100
print(f" {iris.target_names[true_class]}: {count}个 ({percentage:.1f}%)")结果:
=== 聚类效果分析 ===
簇0 (142个样本):
setosa: 46个 (32.4%)
versicolor: 49个 (34.5%)
virginica: 47个 (33.1%)
噪声点分析 (8个):
setosa: 4个 (50.0%)
versicolor: 1个 (12.5%)
virginica: 3个 (37.5%)- 尝试不同参数
# 尝试不同的参数组合
print("\n=== 尝试不同参数的效果 ===")
param_combinations = [
(0.3, 5), # ε较小
(0.5, 5), # 适中
(0.8, 5), # ε较大
(0.5, 3), # MinPts较小
(0.5, 10) # MinPts较大
]
plt.figure(figsize=(20, 4))
for i, (eps, min_samples) in enumerate(param_combinations):
dbscan_test = DBSCAN(eps=eps, min_samples=min_samples)
labels_test = dbscan_test.fit_predict(X_scaled)
n_clusters_test = len(set(labels_test)) - (1 if -1 in labels_test else 0)
n_noise_test = list(labels_test).count(-1)
plt.subplot(1, 5, i+1)
# 绘制聚类结果
for cluster_id in range(n_clusters_test):
mask = labels_test == cluster_id
plt.scatter(X_simple[mask, 0], X_simple[mask, 1],
c=cluster_colors[cluster_id], alpha=0.7)
if n_noise_test > 0:
noise_mask = labels_test == -1
plt.scatter(X_simple[noise_mask, 0], X_simple[noise_mask, 1],
c=noise_color, marker='x', s=80)
plt.xlabel('花萼长度')
plt.ylabel('花萼宽度')
plt.title(f'ε={eps}, MinPts={min_samples}\n簇数:{n_clusters_test}, 噪声:{n_noise_test}')
plt.grid(True, alpha=0.3)
plt.tight_layout()
plt.show()
print("参数影响总结:")
print("• ε越小:簇越多,噪声点越多")
print("• ε越大:簇越少,噪声点越少")
print("• MinPts越小:更容易形成簇")
print("• MinPts越大:要求更严格,噪声点更多")
运行结果说明
✅ DBSCAN的优势:
- 自动发现簇数量,不用预先设定
- 能识别噪声点(不属于任何簇的数据)
- 可以发现任意形状的簇
📊 在本案例中的表现:
• 成功将Setosa类与其他两类分开
• 自动识别出1个自然簇
• 发现8个边界上的噪声点
💡 核心参数说明:
• ε (eps): 邻域半径,决定两个点是否算邻居
• MinPts: 最小邻居数,决定一个点是否算核心点
🎯 适用场景:
• 数据中有自然聚集,但不知道具体有几个簇
• 需要找出异常值或噪声点
• 簇的形状可能不是标准的圆形
:::
5.其他聚类方法
前言
1. STING聚类:网格化的智能聚类
🎯 **基本思想:**用网格划分数据空间,分层统计
生活比喻:人口普查网格化管理
- 将城市划分为不同的网格区域
- 每个网格统计人口密度、年龄分布等
- 从细网格逐步汇总到粗网格
📊 STING 算法流程::
1. 将数据空间划分为层次化网格
2. 从底层开始计算每个网格的统计信息
3. 自顶向下查询:从粗网格到细网格
4. 只访问相关的网格,避免全数据扫描💼 应用场景:智慧城市热点分析
案例:共享单车投放优化
# 使用STING聚类分析骑行热点
层级1网格:100m×100m,统计每小时的骑行量
层级2网格:500m×500m,识别区域热点模式
层级3网格:1km×1km,制定宏观投放策略
价值:快速定位热点区域,优化车辆调度2. 概念聚类:基于概念的智能分组s
🎯 基本思想:不仅看特征相似,更看概念相关
生活比喻:图书馆图书分类
- 不是按书本大小颜色分类
- 而是按"科学"、"文学"、"历史"等概念分类
- 考虑内容的相关性和逻辑关系
💼 应用场景:电商商品智能分类
案例:电子产品概念聚类
传统聚类结果:
簇1:{iPhone12, iPad Pro, MacBook} # 按品牌价格聚集
簇2:{三星手机, 华为平板} # 按安卓系统聚集
概念聚类结果:
概念簇1:"苹果生态系统"
- 描述:设备间无缝协作,iCloud同步
- 成员:iPhone, iPad, Mac, Watch
概念簇2:"商务办公设备"
- 描述:高效办公,长续航,多任务处理
- 成员:Surface, ThinkPad, 华为MatePad3. 模糊聚类:打破"非此即彼"的界限
🎯 基本思想:一个点可以属于多个簇,有隶属度
生活比喻:人的多重身份
- 一个人可以是:程序员(0.7)+音乐家(0.2)+摄影师(0.1)
- 不是"要么是程序员,要么不是"
- 而是在不同身份间有不同程度的归属
📊 FCM原理
1. 先搞懂 “模糊”:不是非黑即白,而是 “有点像”
比如给 3 种水果(苹果、香蕉、橙子)聚类,K-Means 会说 “这个水果 100% 是苹果类”;但 FCM 会说 “这个水果 60% 像苹果、30% 像橙子、10% 像香蕉”—— 这里的百分比就是 “隶属度”,每个样本对所有簇都有一个隶属度,加起来刚好是 100%。
2. 目标很直接:让 “像的样本” 尽量凑一起
FCM 最终想实现的是:
每个簇里的样本,对这个簇的 “隶属度” 都要高(比如苹果簇里的样本,大多 “80% 以上像苹果”);
样本到自己 “主要隶属” 的簇中心,距离要近(比如 “80% 像苹果” 的样本,离苹果簇中心要近)。
就像让一群人找朋友,尽量让 “觉得彼此像朋友” 的人站在同一圈里。
3. 怎么做:先猜再调,直到满意
FCM 的过程类似 “试错优化”,分两步循环:
先给每个样本 “打分”:假设先随便定几个簇中心(比如先挑 3 个样本当临时中心),然后给每个样本算对每个中心的 “隶属度”(比如 A 样本对中心 1 打 80 分、中心 2 打 15 分、中心 3 打 5 分)。
再调整中心位置:根据第一步的 “打分”,把每个簇的中心挪到 “该簇所有样本的加权中间”(比如苹果簇中心,会往 “打高分的苹果样本” 那边挪)。
反复来几遍:重新按新中心给样本打分,再挪中心,直到中心位置基本不动、每个样本的隶属度也稳定了,就结束。💼 应用场景:客户价值细分
案例:银行客户分层
硬聚类结果:
客户A:VIP客户(100%归属)
客户B:普通客户(100%归属)
模糊聚类结果:
客户A:VIP(0.8) + 潜在VIP(0.2)
客户B:普通(0.6) + 潜在流失(0.4)
业务价值:更精细的客户管理策略4. FCM聚类算法案例
安装skfuzzy
pip install scikit-fuzzy
import numpy as np
import matplotlib.pyplot as plt
from skfuzzy.cluster import cmeans
from sklearn.datasets import load_iris
# 加载Iris数据集
iris = load_iris()
x = iris.data
shape = x.shape
colo = ['b', 'g', 'r', 'c', 'm']
EPC = [] # 用于存储各聚类数下的模糊划分系数(FPC)
# 尝试聚类数k从2到5
for k in range(2, 5):
# 执行FCM聚类,m为模糊指数(默认2),error为收敛阈值,maxiter为最大迭代次数
center, u,u0, d, jm, p, fpc = cmeans(x.T, m=2, c=k, error=0.5, maxiter=1000)
EPC.append(fpc)
# 确定每个样本的聚类标签(取隶属度最大的类别)
label = np.argmax(u0, axis=0)
# 可视化聚类结果(以前两个特征为例)
plt.figure(figsize=(8, 6))
for i in range(shape[0]):
plt.scatter(x[i, 0], x[i, 1], color=colo[label[i]], s=50, alpha=0.8)
plt.scatter(center[:, 0], center[:, 1], color='k', marker='*', s=200, label='聚类中心')
plt.title(f'FCM聚类(k={k},FPC={fpc:.3f})')
plt.xlabel(iris.feature_names[0])
plt.ylabel(iris.feature_names[1])
plt.legend()
plt.show()
# 输出各聚类数对应的FPC
print("不同聚类数的模糊划分系数(FPC):", EPC)
说明
聚类核心:cmeans函数实现 FCM 聚类,参数x.T是因为函数要求输入为 “特征数 × 样本数” 的矩阵;m=2是模糊指数的常用值;c=k是聚类数;error和maxiter控制收敛逻辑。
结果评估:fpc(模糊划分系数)越接近 1,聚类效果越好,可通过它选择最优聚类数。
可视化:以数据集前两个特征(花萼(sepal)长度、花萼宽度)绘制散点图,不同颜色代表不同聚类,黑色星号代表聚类中心,直观展示聚类分布。’
5.🎯实用建议:
- 数据量大且空间分布 → STING
- 需要业务解释性 → 概念聚类
- 类别有重叠边界 → 模糊聚类/FCM
- 一般情况 → 从K-Means开始尝试
